Les problèmes relatifs aux systèmes d’équations proposés aux élèves sont souvent calqués sur les mêmes squelettes. La disposition ou le type d’informations fournies fait parfois en sorte que le système d’équations nous saute aux yeux. Ça peut être intéressant de proposer aux élèves des problèmes où le système d’équations est un peu plus dissimulé. Voici le problème de la semaine proposé par le CENTRE d’ÉDUCATION en MATHÉMATIQUES et en INFORMATIQUE de l’Université de Waterloo.


Avant de poursuivre la lecture de cet article, je vous invite à tenter de résoudre le problème par vous-même. Vous serez alors assurés que votre raisonnement et vos stratégies ne seront pas influencés par ce qui suit. Si vous ne l’essayer pas par vous-mêmes maintenant, vous pourriez avoir des regrets dans les jours à venir! Voilà, vous êtes avertis! 😁
Exemple de raisonnement
Le programme fonctionne ainsi :

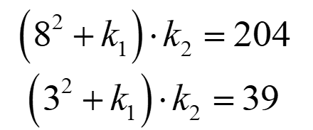
Nous avons ces deux informations :

On se retrouve donc avec un système d’équations de deux équations à deux inconnues. Il ne reste qu’à le résoudre. Commençons d’abord par simplifier nos équations.

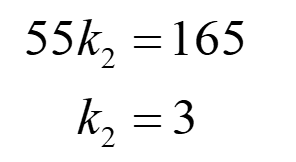
Avec la méthode de réduction, on obtient :

On peut maintenant déduire la valeur de notre constante k2.

On peut ensuite déterminer la valeur de la constante k1 tout en procédant à une validation dans nos deux équations de départ :

Le programme peut donc d’écrire ainsi :

Si l’entrée est 5, voici ce qu’on obtient :

La réponse au problème est donc 87! 😁
Lien vers le diaporama contenant l’ensemble de ces images (privilégier Microsoft Powerpoint pour que les animations fonctionnent correctement).
Lien vers la tâche originale et le corrigé du CEMC.
N’hésitez pas à m’écrire si vous avez des questions ou des commentaires! Je suis également très intéressé à recevoir vos exemples de raisonnements ou des traces des raisonnements de vos élèves. Il me fera plaisir d’ajouter d’autres exemples de raisonnements à cet article!
martin.roy005@csssamares.gouv.qc.ca
Dernière mise à jour de cet article : 6 mai 2025
Une ressource très riche en problèmes!

Chaque semaine, le CENTRE d’ÉDUCATION en MATHÉMATIQUES et en INFORMATIQUE de l’Université de Waterloo partage de riches problèmes (pour la 3e à la 12e année). Les solutions de chacun de ces problèmes sont partagées une semaine plus tard.
Lien pour avoir accès aux problèmes en français
Lien pour avoir accès aux problèmes en anglais (vous aurez ainsi accès aux problèmes 11e/12e année)
Archives des problèmes des années 2022-2023 et 2023-2024 (français)
Archives des problèmes des années 2022-2023 et 2023-2024 (anglais avec les problèmes 11e/12e année)
Les archives contiennent également l’ensemble des solutions des problèmes!